Πόθεν έσχες βουλευτών: Τι δήλωνε το 2013 ο Σταθάκης

Πόθεν έσχες βουλευτών: Τι δήλωνε το 2013 ο Σταθάκης
Discussion and vote on the Plenum of the Greek Parliament for the new social security reform bill, in Athens, on May 8, 2016 / , , 8 , 2016 Nick Paleologos / SOOC

Τα χρήματα και τα ακίνητα που δήλωσε ο υπουργός Οικονομίας. Διαβάστε αναλυτικά

Στη δημοσιότητα δόθηκαν την Τετάρτη οι δηλώσεις περιουσιακής κατάστασης των πολιτικών προσώπων για το οικονομικό έτος 2013 (χρήση 2012). Πρόκειται για 609 δηλώσεις, οι οποίες υποβλήθηκαν από τον πρωθυπουργό, τους τέως πρωθυπουργούς, υπουργούς, υφυπουργούς, εξωκοινοβουλευτικούς υπουργούς, τέως υπουργούς και υφυπουργούς, βουλευτές και ευρωβουλευτές, νυν και τέως, καθώς και από τους υπευθύνους, νυν και τέως, των οικονομικών των κομμάτων.

Η φορολογική δήλωση Σταθάκη

Η δήλωση του Γιώργου Σταθάκη, ο οποίος ανέλαβε καθήκοντα βουλευτή για πρώτη φορά το 2012,  υποβλήθηκε από τη σύζυγό του, Θέμιδα Γκέκου.

Όσον αφορά το συνολικό ποσό για έσοδα από κάθε πηγή κατά το έτος 2012, ο κ. Σταθάκης δήλωσε το ποσό των 44.521,97 ευρώ,16.527,97 ευρώ φορολογητέο ποσό και 28.113,23 ευρώ αφορολόγητο ποσό από τη βουλευτική αποζημίωση.

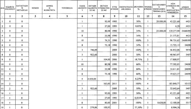
Όσον αφορά στα ακίνητα που δήλωσε τότε ο κ. Σταθάκης, από κοινού με τη σύζυγό του, ο σημερινός υπουργός Οικονομίας είχε δηλώσει συνολικά 13 ακίνητα, τα οποία προϋπήρχαν της περιόδου που αφορά η δήλωση και εξακολουθούσαν να υπάρχουν κατά τον χρόνο υποβολής τους. Από τα 13 ακίνητα, τα τρία είναι διαμερίσματα, τα τρία είναι καταστήματα, τα τέσσερα είναι αποθήκες, τα δύο είναι οικόπεδα και ένα χαρακτηρίζεται βοσκότοπος. Όλα αποκτήθηκαν μεταξύ 1990 και 2009.

Σημειώνεται, ότι ο κ. Σταθάκης, όταν είχε κατηγορηθεί για απόκρυψη ακινήτων από τη φορολογική του δήλωση, είχε δώσει εξηγήσεις, λέγοντας πως έχει τέσσερα ακίνητα, τρία από κληρονομιά ένα διαμέρισμα, ένα μαγαζί κι ένα εξοχικό κι ένα διαμέρισμα στην Αθήνα. “Τέσσερα. Όχι 34, ούτε 44. Η σύζυγος μου έχει 30 τόσα αγροτεμάχια κληρονομιάς στα δικαστήρια, στην ορεινή Κορινθία και την ορεινή Αρκαδία”, είχε δηλώσει χαρακτηριστικά, εξηγώντας ότι δεν τα είχε δηλώσει το 2011, διότι δεν ήξερε εάν έπρεπε, καθώς η σύζυγος του ήταν στα δικαστήρια για την κατοχή τους.

Στη δήλωση για το 2012, η σύζυγός του δήλωσε συνολικά 34 ακίνητα, εκ των οποίων τα 17 είναι αγροτεμάχια.

Δείτε στους πίνακες αναλυτικά το μέρος της φορολογικής δήλωσης που αφορά στα ακίνητα.

Όσον αφορά στις μετοχές ημεδαπών και αλλοδαπών εταιρειών, ομόλογα και κάθε είδους ομολογίες (αμοιβαία κεφάλαια, παράγωγα χρηματοοικονομικά προϊόντα), ο κ. Σταθάκης δήλωσε μερίδια αμοιβαίων κεφαλαίων και μετοχές σε ημεδαπή μη εισηγμένη εταιρεία.

Κατά τον χρόνο που υποβλήθηκε η φορολογική δήλωση, πούλησε τα μερίδιά του σε Morgan Stanley, Blackrock Global A2 και SISE Euro Corporate, αποκομίζοντας τα ποσά των 58.373,40, 54.811,84 και 29.447,98 ευρώ αντίστοιχα.

Η δήλωση του 1.000.000 ευρώ

Στις καταθέσεις σε Τράπεζες, ταμιευτήρια και άλλα πιστωτικά ιδρύματα, ο δήλωσε καταθέσεις σε 12 λογαριασμούς τεσσάρων τραπεζών. Στη συμπληρωματική δήλωση περιλαμβάνεται και το 1.000.000 ευρώ (το δήλωσε από κοινού με τη σύζυγό του), σε προθεσμιακό λογαριασμού τράπεζας στην Κύπρο.

Υπενθυμίζεται, ότι το ποσό του 1.000.000 ευρώ, κατά τον έλεγχο που διενεργήθηκε από την Επιτροπή Ελέγχου Δηλώσεων της Βουλής δεν είχε δηλωθεί, υπόθεση για την οποία ο κ. Σταθάκης αθωώθηκε.

Τέλος, ο τότε βουλευτής δήλωσε ένα επιβατικό όχημα, 1.600 κυβικών, το οποίο απέκτησε με αγορά το 2011, με χρήματα από τα εισοδήματα των προηγούμενων ετών.

Ροή Ειδήσεων

Περισσότερα