Διοικητές νοσοκομείων: Γιατί σε κάποιους εμφανίζονται και “κρύβονται” πτυχία – Τι εξηγεί το ΑΣΕΠ

Διαβάζεται σε 8'
Διάδρομος νοσοκομείου (φωτογραφία αρχείου)
Διάδρομος νοσοκομείου (φωτογραφία αρχείου) iStock

Εντύπωση προκαλεί ότι υποψήφιοι διοικητές νοσοκομείων εμφανίζονται με διαφορετικά πτυχία στις διαφορετικές λίστες προτίμησης που εξέδωσε το ΑΣΕΠ. Τι εξηγεί το ΑΣΕΠ.

Τους προσωρινούς πίνακες των επιλέξιμων υποψήφιων διοικητών και αναπληρωτών διοικητών νοσοκομείων στη 2η, 3η, 5η και 7η  Υγειονομική Περιφέρεια (ΥΠε) έχει ανακοινώσει τις τελευταίες ημέρες το Ανώτατο Συμβούλιο Επιλογής Προσωπικού (ΑΣΕΠ).

Οι προσωρινοί πίνακες που δημοσιεύτηκαν αφορούν σε αποτελέσματα της γραπτής εξέτασης του συνόλου των υποψηφίων, υποψήφιους που αποκλείονται λόγω έλλειψης των απαιτούμενων προσόντων και τους επιλέξιμους υποψήφιους που διαθέτουν τα απαραίτητα προσόντα, ανά κωδικό θέσης, όπως προέκυψαν μετά τον έλεγχο συνδρομής των απαιτούμενων προσόντων των 15 πρώτων στην κατάταξη υποψηφίων και βάσει της γραπτής εξέτασης.

Διευκρινίζεται ότι, σύμφωνα με την υπ’ αριθ. 62/2004 απόφαση της Αρχής Προστασίας Δεδομένων Προσωπικού Χαρακτήρα, οι υποψήφιοι που περιλαμβάνονται στους πίνακες αποτελεσμάτων γραπτής εξέτασης και αποκλεισμένων εμφανίζονται μόνο με τον αριθμό μητρώου (ΑΜ) αίτησης.

Οι υποψήφιοι έχουν δικαίωμα υποβολής ενστάσεων κατά των εν λόγω προσωρινών πινάκων κατάταξης από την Τετάρτη, 13 Νοεμβρίου και ώρα 8:00 π.μ. έως και τη Δευτέρα 18 Νοεμβρίου 2024 και ώρα 2:00 μ.μ.. Η άσκηση της ένστασης γίνεται αποκλειστικά μέσω του διαδικτυακού τόπου του ΑΣΕΠ.

Μετά την εξέταση των ενστάσεων θα ακολουθήσουν οι προσωπικές συνεντεύξεις στους επτά πρώτους (ή λιγότερους στην περίπτωση που δεν συμπληρώνονται επτά) από τριμελή επιτροπή με τη συμμετοχή του διοικητή της αρμόδιας ΥΠΕ.

Η καταλληλόλητα των τριών επικρατέστερων που θα προκύψουν θα ελεγχθεί από τον υπουργό Υγείας, Άδωνι Γεωργιάδη, ο οποίος θα έχει τον τελικό λόγο στην επιλογή των επικεφαλής των υγειονομικών μονάδων της χώρας.

Για ποιους υποψήφιους διοικητές εμφανίζονται και εξαφανίζονται πτυχία στις λίστες του ΑΣΕΠ

Ωστόσο, εντύπωση προκαλεί ότι στις λίστες του ΑΣΕΠ υπάρχουν τουλάχιστον δύο υποψήφιοι, για τους οποίους εμφανίζονται και αποκρύπτονται πτυχία, ανάλογα με τη δήλωση προτίμησης σε συγκεκριμένο νοσοκομείο.

Και οι δύο περιπτώσεις σχετίζονται με το αντικαρκινικό Νοσοκομείο «Μεταξά».

Χαρακτηριστική είναι η περίπτωση του νυν (προσωρινού) διοικητή Σαράντου Ευσταθόπουλου, του οποίου ο μεταπτυχιακός τίτλος δεν εμφανίζεται σε θέσεις που έχει επιλέξει σε διάφορα νοσοκομεία της 2ης ΥΠΕ, όμως φαίνεται να έχει μοριοδοτηθεί στον πίνακα του Νοσοκομείου «Μεταξά».

Χωρίς τον μεταπτυχιακό του τίτλο φαίνεται να συμπληρώνει συνολικά 2.451,94 μόρια σε άλλα νοσοκομεία, όμως με τη δήλωση του εν λόγω εγγράφου στον πίνακα του «Μεταξά», λαμβάνει ακόμη περίπου 500 μόρια (το πρώτο μεταπτυχιακό δίνει 250 μόρια) και συνολικά φτάνει στα 2.951,20 μόρια και καταλαμβάνει την 6η θέση. Σε περίπτωση που αφαιρεθούν τα μόρια αυτά, βρίσκεται αυτόματα στη 13η θέση της κατάταξης και τίθεται εκτός διαδικασίας.

Ο ίδιος, βρίσκεται υποψήφιος και στην 6η θέση του Νοσοκομείου «Αττικόν» και μάλιστα δίχως τον μεταπτυχιακό τίτλο, ενώ στα υπόλοιπα νοσοκομεία της προτίμησής του βρίσκεται κάτω από την 11 θέση.

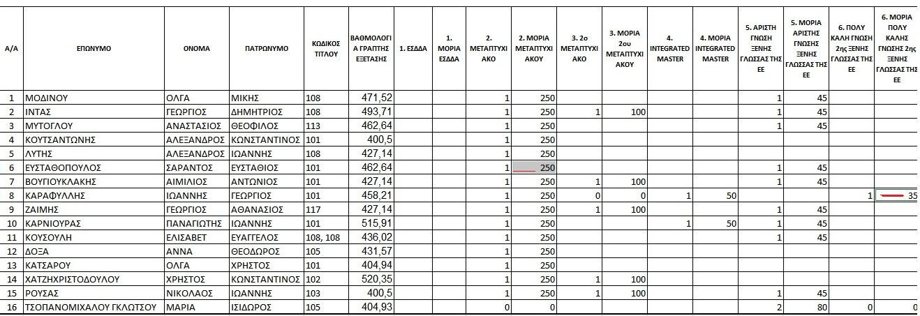
Η λίστα των υποψηφίων διοικητών με τα μόρια και τα πτυχία για την επιλογή του Νοσοκομείου «Μεταξά»
Η λίστα των υποψηφίων διοικητών με τα μόρια και τα πτυχία για την επιλογή του Νοσοκομείου «Μεταξά»

Ακόμη ένα παρόμοιο περιστατικά και πάλι στη λίστα του Νοσοκομείου «Μεταξά», αφορά τον υποψήφιο Ιωάννη Καραφύλλη (ήταν και υποψήφιος για διοικητής ΥΠΕ), ο οποίος ενώ δεν φαίνεται να δηλώνει στο «Τζάνειο» Νοσοκομείο ξένη γλώσσα, στον συγκεκριμένο φαίνεται να έχει λάβει 35 μόρια (ίσως θα έπρεπε να πάρει 45 μόρια) για «πολύ καλή γνώση δεύτερης γλώσσας», χωρίς να υπάρχει δήλωση της πρώτης γλώσσας.

Η λίστα των υποψηφίων διοικητών με τα μόρια και τα πτυχία για την επιλογή του Νοσοκομείου «Τζάνειο»
Η λίστα των υποψηφίων διοικητών με τα μόρια και τα πτυχία για την επιλογή του Νοσοκομείου «Τζάνειο»

Γιατί συμβαίνει αυτό

Κατόπιν του δημοσιεύματος, το ΑΣΕΠ διευκρινίζει ότι τα νοσοκομεία που έχουν κάτω από 400 κλίνες, απαιτούν διαφορετικά προσόντα από τους υποψηφίους, όπως έχει γίνει σε αυτές τις δύο περιπτώσεις.

Μάλιστα, και οι δύο υποψήφιοι διοικητές που φέρονται να έχουν διαφορετικά μόρια στις εν λόγω λίστες, είχαν διαβάσει προσεκτικά την προκήρυξη και κατέθεσαν ανάλογα για να πάρουν το μέγιστο αριθμό των μορίων που δικαιούνται.

«Θα ήθελα να ξεκαθαρίσω ότι υπάρχει απόλυτη εμπιστοσύνη στα αποτελέσματα που εξέδωσε το ΑΣΕΠ, μέσα από μια άκρως αξιοκρατική διαδικασία. Είναι γεγονός ότι αν κάποιος δεν έχει διαβάσει λεπτομερώς την προκήρυξη για τους νέους Διοικητές των Νοσοκομείων και δεν έχει εντοπίσει τη διάκριση των προαπαιτούμενων για νοσοκομεία άνω και κάτω των 400 κλινών, μπορεί να οδηγηθεί στην εσφαλμένη εντύπωση ότι υπάρχει λάθος στην τελική μοριοδότηση. Αξίζει να αναφερθεί ότι το γραπτό μου στις κοινές εξετάσεις του ΑΣΕΠ, βαθμολογήθηκε με 462,4, το οποίο συγκαταλέγεται στο 15% των υψηλότερων βαθμολογιών μεταξύ των 1.050 περίπου συνυποψήφιων σε όλη τη χώρα. Απλά, επειδή μέχρι την ολοκλήρωση της διαδικασίας ακολουθούν ακόμα δυο κρίσιμα στάδια, θα ήταν καλό να μη δημιουργούνται λανθασμένες εντυπώσεις τόσο για εμένα προσωπικά όσο κυρίως και για το Νοσοκομείο Μεταξά το οποίο βρίσκεται σε ανοδική τροχιά τον τελευταίο χρόνο, ως αποτέλεσμα ομαδικής προσπάθειας και σκληρής δουλειάς», εξηγεί ο Σαράντος Ευσταθόπουλος σε δήλωσή του στο NEWS 24/7.

Η απάντηση του ΑΣΕΠ

«Τα απαιτούμενα προσόντα συμμετοχής στη διαδικασία επιλογής οργάνων διοίκησης των Νοσοκομείων, σύμφωνα με τις διατάξεις του άρθρου 5 του ν. 5062/2023 (ΦΕΚ Α΄ 183),  διαφοροποιούνται αναλόγως με τον αριθμό κλινών των νοσοκομείων (άνω ή κάτω των 400 κλινών). Επίσης, στο άρθρο 7 του ως άνω νόμου (κριτήρια επιλογής και μοριοδότηση), προβλέπεται ότι μοριοδοτούνται τα τυπικά εκπαιδευτικά προσόντα, πέραν των απαιτούμενων για τη συμμετοχή στη διαδικασία, δηλαδή όταν ένα προσόν («απαραίτητο πρόσθετο») είναι απαιτούμενο για τη συμμετοχή δεν μοριοδοτείται.

Σύμφωνα με την Πρόσκληση εκδήλωσης ενδιαφέροντος για την κάλυψη των θέσεων Διοικητών και Αναπληρωτών Διοικητών Νοσοκομείων (ΑΔΑ: 92Ξ5465ΦΥΟ-6ΘΙ):

Α) το Νοσοκομείο ΜΕΤΑΞΑ (κωδ. θέσης 314) διαθέτει λιγότερες από 400 κλίνες (συγκεκριμένα διαθέτει 357) και τα απαραίτητα πρόσθετα προσόντα για τους υποψηφίους που συμμετέχουν με πτυχίο ή δίπλωμα οποιουδήποτε τμήματος ΑΕΙ ή ΤΕΙ (κωδ. τίτλου 101) είναι τα εξής:

  • 002 (καλή γνώση της αγγλικής ή της γαλλικής ή της γερμανικής ή της ισπανικής ή της ιταλικής γλώσσας),
  • 005 (Διδακτορικός ή μεταπτυχιακός τίτλος σπουδών της ημεδαπής ή της αλλοδαπής είτε στον τομέα της διοίκησης είτε στον τομέα της υγείας)

ή

  • 006 (οκταετής τουλάχιστον εργασιακή εμπειρία στον δημόσιο ή τον ιδιωτικό τομέα, εκ των οποίων τα πέντε (5) έτη τουλάχιστον είτε στην άσκηση διοίκησης είτε στον τομέα της υγείας),

Β) το Νοσοκομείο ΤΖΑΝΕΙΟ (κωδ. θέσης 312 και 313) διαθέτει περισσότερες από 400 κλίνες (συγκεκριμένα διαθέτει 426) και τα απαραίτητα πρόσθετα προσόντα για τους υποψήφιους με κωδικό τίτλου 101 διαφοροποιούνται και είναι τα εξής:

  • 001 (πολύ καλή γνώση της αγγλικής ή της γαλλικής ή της γερμανικής ή της ισπανικής ή της ιταλικής γλώσσας),
  • 003 (δεκαετής τουλάχιστον εργασιακή εμπειρία στον δημόσιο ή τον ιδιωτικό τομέα, εκ των οποίων τα πέντε (5) έτη τουλάχιστον είτε στην άσκηση διοίκησης είτε στον τομέα της υγείας)

και

  • 005 (Διδακτορικός ή μεταπτυχιακός τίτλος σπουδών της ημεδαπής ή της αλλοδαπής είτε στον τομέα της διοίκησης είτε στον τομέα της υγείας)

Εφόσον, λοιπόν, ένας υποψήφιος συμμετέχει με κωδικό τίτλου 101 και διαθέτει μεταπτυχιακό τίτλο σπουδών, για τα μεν νοσοκομεία με περισσότερες από 400 κλίνες ο μεταπτυχιακός του τίτλος αποτελεί απαραίτητο πρόσθετο προσόν (κωδ. 005) και δεν δύναται να μοριοδοτηθεί σύμφωνα με τον νόμο, για τα δε νοσοκομεία με λιγότερες από 400 κλίνες, ο υποψήφιος μπορεί να αποδείξει τη συνάφεια προς την προκηρυσσόμενη θέση με τα πέντε (5) έτη εμπειρίας στον τομέα της διοίκησης ή στον τομέα της υγείας (κωδ. 006) και έτσι να μοριοδοτηθεί για τον μεταπτυχιακό του τίτλο.

Αντίστοιχα και για τη γνώση ξένης γλώσσας, στα μεν νοσοκομεία με περισσότερες από 400 κλίνες, στην περίπτωση που ο υποψήφιος διαθέτει πολύ καλή γνώση ξένης γλώσσας δεν μοριοδοτείται για αυτήν (με 35 μονάδες), διότι η πολύ καλή γνώση αποτελεί απαραίτητο πρόσθετο προσόν (κωδ. 001), στα δε νοσοκομεία με λιγότερες από 400 κλίνες, ο υποψήφιος μοριοδοτείται με 35 μονάδες για την πολύ καλή γνώση (δηλαδή γνώση σε επίπεδο ανώτερο του προβλεπόμενου), καθώς ως απαραίτητο πρόσθετο προσόν απαιτείται μόνο η καλή γνώση (κωδ. 002).

Ως εκ τούτου, τα ανωτέρω εξηγούν πλήρως τη διαφοροποίηση στη μοριοδότηση ορισμένων υποψηφίων, σύμφωνα με το ισχύον θεσμικό πλαίσιο».

Ροή Ειδήσεων

Περισσότερα