ΕΠΑΛ – Πανελλήνιες 2024: Οι απαντήσεις στα θέματα των Μαθηματικών

Διαβάζεται σε 5'
Πανελλήνιες Εξετάσεις
Πανελλήνιες Εξετάσεις ΣΩΤΗΡΗΣ ΔΗΜΗΤΡΟΠΟΥΛΟΣ/ EUROKINISSI

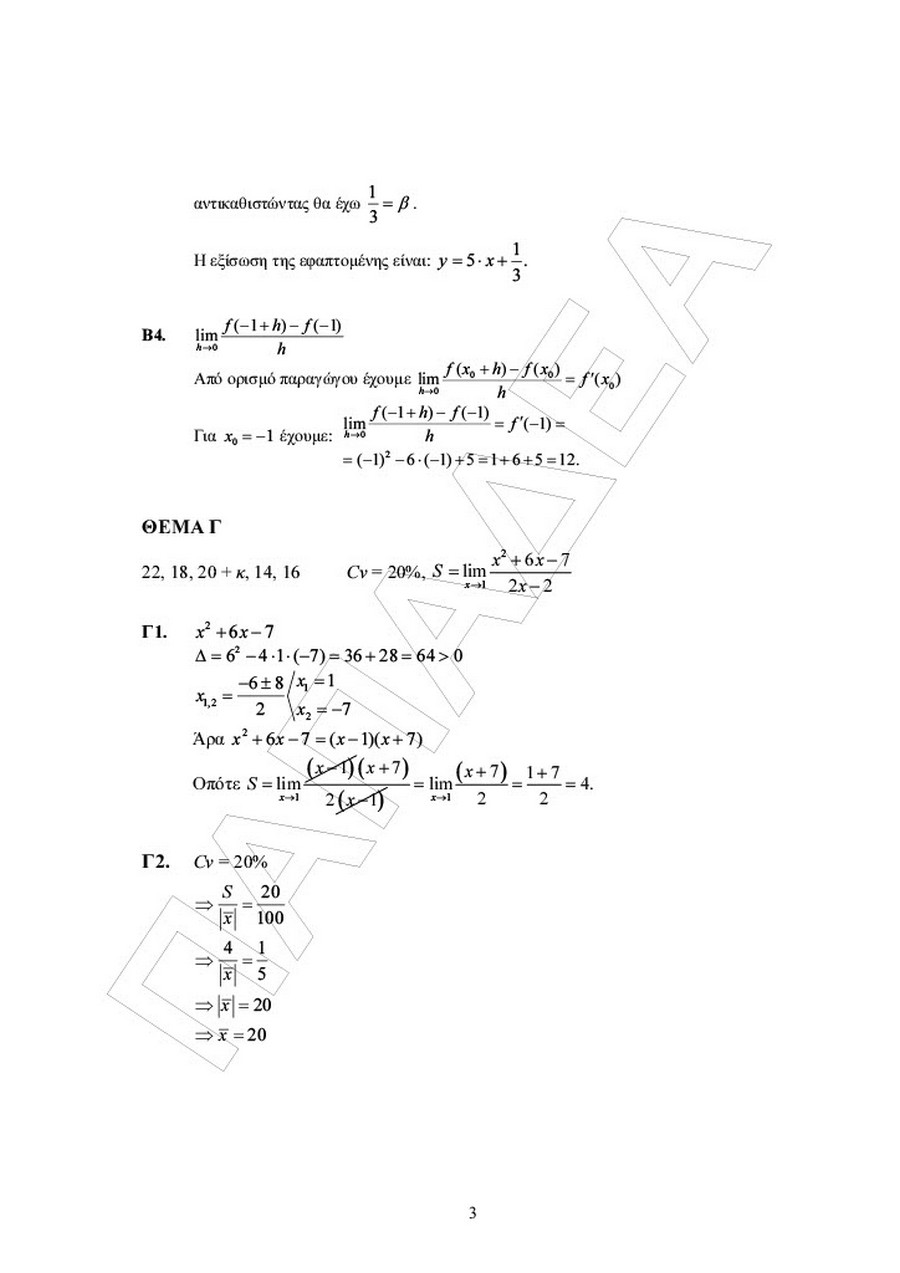
Οι λύσεις των θεμάτων που “έπεσαν” στα Μαθηματικά (Άλγεβρα) στις Πανελλήνιες Εξετάσεις των ΕΠΑΛ, από τα Φροντιστήρια Παπαδέα.

Με το μάθημα των Μαθηματικών (Άλγεβρα) συνεχίστηκαν σήμερα, Σάββατο (01/06), οι Πανελλήνιες Εξετάσεις 2024 για τους υποψήφιους των ΕΠΑΛ.

Πρόκειται για το δεύτερο μάθημα Γενικής Παιδείας που δίνουν οι υποψήφιοι των ΕΠΑΛ, καθώς από την ερχόμενη Δευτέρα, 3 Ιουνίου έως και τις 17 Ιουνίου 2024, θα εξετάζονται σε μαθήματα ειδικότητας, με ενδιάμεσο κενό, λόγω των Ευρωεκλογών, μεταξύ 5 και 11 Ιουνίου.

Τα Φροντιστήρια Παπαδέα έδωσαν στη δημοσιότητα τις απαντήσεις τα θέματα που “έπεσαν” στο εξεταζόμενο μάθημα.

Πανελλήνιες 2024: Τα θέματα που έπεσαν στα Μαθηματικά για τους μαθητές του ΕΠΑΛ

Τα σημερινά θέματα των μαθηματικών του ΕΠΑΛ αν και φαινομενικά είναι κατανοητά, το κάθε ένα ξεχωριστά έχει παγίδες. Στα θέματα υπάρχει μια διαβάθμιση στη δυσκολία τους, ιδιαίτερη προσοχή πρέπει να έχουν οι μαθητές στο Γ θέμα και κυρίως στο Γ4, και στο Δ θέμα.

 

 

 

 

Σχετικό Άρθρο

Το πρόγραμμα εξετάσεων των ΕΠΑΛ

  • Από τη Δευτέρα 3 έως και τη Δευτέρα 17 Ιουνίου θα εξεταστούν μαθήματα ειδικότητας, με ενδιάμεσο κενό (5 & 11/6), λόγω ευρωεκλογών

Ως ώρα έναρξης εξέτασης έχει ορισθεί η 08:30 και έτσι, οι υποψήφιοι θα πρέπει να προσέρχονται στις αίθουσες εξέτασης μέχρι τις 08:00. Η διάρκεια εξέτασης είναι τρεις (3) ώρες.

Το πρόγραμμα εξετάσεων των ΓΕΛ

Όσον αφορά στα Γενικά Λύκεια (ΓΕΛ), οι εξετάσεις θα αρχίσουν αύριο, Παρασκευή 31 Μαΐου 2024 με το μάθημα Γενικής Παιδείας, Νεοελληνική Γλώσσα και Λογοτεχνία.

  • Στη συνέχεια, την Τρίτη 4 Ιουνίου θα διεξαχθούν οι εξετάσεις για τα Αρχαία Ελληνικά (Ομάδα Προσανατολισμού Ανθρωπιστικών Σπουδών), τα Μαθηματικά (Ο.Π. Θετικών Σπουδών και Σπουδών Οικονομίας και Πληροφορικής) και τη Βιολογία (Ο.Π. Σπουδών Υγείας).
  • Την Πέμπτη 6 Ιουνίου, οι υποψήφιοι θα εξεταστούν στα Λατινικά (Ο.Π. Ανθρωπιστικών Σπουδών), τη Χημεία (Ο.Π. Θετικών Σπουδών και Σπουδών Υγείας) και την Πληροφορική (Ο.Π. Σπουδών Οικονομίας και Πληροφορικής).

Θα μεσολαβήσει ένα κενό εξετάσεων, λόγω της διεξαγωγής των Ευρωπαϊκών Εκλογών στις 9 Ιουνίου και έτσι,

  • Οι πανελλήνιες εξετάσεις θα ολοκληρωθούν την Τετάρτη 12 Ιουνίου, με τα μαθήματα: Ιστορία (Ο.Π. Ανθρωπιστικών Σπουδών), Φυσική (Ο.Π. Θετικών Σπουδών και Σπουδών Υγείας), Οικονομία (Ο.Π. Σπουδών Οικονομίας και Πληροφορικής).

Ειδικά μαθήματα και πρακτική δοκιμασία για ΤΕΦΑΑ

Οι εξετάσεις των ειδικών μαθημάτων θα διεξαχθούν από τις 18 έως και τις 28 Ιουνίου 2024.

Παρομοίως, η διεξαγωγή των Υγειονομικών Εξετάσεων και Πρακτικής Δοκιμασίας των υποψηφίων (ΓΕΛ και ΕΠΑΛ) για εισαγωγή στα Τμήματα Επιστήμης Φυσικής Αγωγής και Αθλητισμού (ΤΕΦΑΑ) από τις 17 έως και τις 28 Ιουνίου.

Αναλυτικότερα, το πρόγραμμα εξετάσεων των ειδικών μαθημάτων έχει ως εξής:

  • Τρίτη 18 Ιουνίου 2024: Αγγλικά
  • Τετάρτη 19 Ιουνίου 2024: Γερμανικά
  • Πέμπτη 20 Ιουνίου 2024: Ελεύθερο Σχέδιο
  • Παρασκευή 21 Ιουνίου 2024: Γραμμικό Σχέδιο
  • Σάββατο 22 Ιουνίου 2024: Μουσική Αντίληψη, Θεωρία και Αρμονία
  • Τρίτη 25 Ιουνίου 2024: Μουσική Εκτέλεση και Ερμηνεία
  • Τετάρτη 26 Ιουνίου 2024: Γαλλικά
  • Πέμπτη 27 Ιουνίου 2024: Ισπανικά
  • Παρασκευή 28 Ιουνίου 2024: Ιταλικά

Η διάρκεια εξέτασης των μαθημάτων ξένων γλωσσών είναι τρεις (3) ώρες, των Σχεδίων είναι έξι (6) ώρες, της «Μουσικής Εκτέλεσης και Ερμηνείας» η εξέταση της φωνητικής ή οργανικής μουσικής διαρκεί 4 έως 6 λεπτά ανά υποψήφιο και της «Μουσικής Αντίληψης, Θεωρίας και Αρμονίας», η εξέταση συνολικά έχει διάρκεια τρεισήμισι ώρες (3 ώρες και 30 λεπτά).

Οι υποψήφιοι πρέπει να προσέρχονται στις αίθουσες εξέτασης μέχρι τις 08:00 για τα μαθήματα με ώρα εξέτασης 08:30, μέχρι τις 11:30 για το μάθημα με ώρα εξέτασης 12:00 και μέχρι τις 11:00 για το μάθημα με ώρα εξέτασης 11:30.

Ροή Ειδήσεων

Περισσότερα