Πανελλήνιες 2024: Τα θέματα στα Μαθηματικά για τους υποψηφίους των ΓΕΛ

Διαβάζεται σε 2'
Πανελλήνιες 2024
Πανελλήνιες 2024 ΚΩΣΤΑΣ ΤΖΟΥΜΑΣ/EUROKINISSI

Στα Μαθηματικά εξετάστηκαν σήμερα οι υποψήφιοι των ΓΕΛ. Δείτε τα θέματα που “έπεσαν” από τα Φροντιστήρια Παπαδέα.

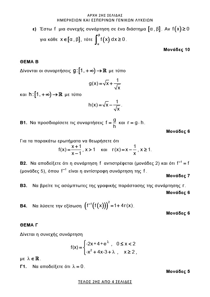
Με μαθήματα προσανατολισμού συνεχίζονται για δεύτερη εβδομάδα οι Πανελλήνιες Εξετάσεις 2024 για τους υποψηφίους των ΓΕΛ, καθώς οι μαθητές της Ομάδας Προσανατολισμού εξετάζονται σήμερα, Τρίτη (04/06) στα Μαθηματικά.

Τα Φροντιστήρια Παπαδέα έδωσαν στη δημοσιότητα τα θέματα που “έπεσαν” στο μάθημα των Μαθηματικών.

Πανελλήνιες 2024: Τα θέματα στα Μαθηματικά

Σχετικό Άρθρο

Το πρόγραμμα των ΓΕΛ στις Πανελλήνιες 2024

Την Πέμπτη 6 Ιουνίου, οι υποψήφιοι θα εξεταστούν στα Λατινικά (Ο.Π. Ανθρωπιστικών Σπουδών), τη Χημεία (Ο.Π. Θετικών Σπουδών και Σπουδών Υγείας) και την Πληροφορική (Ο.Π. Σπουδών Οικονομίας και Πληροφορικής).

Θα μεσολαβήσει ένα κενό, λόγω της διεξαγωγής των Ευρωπαϊκών Εκλογών στις 9 Ιουνίου και έτσι οι Πανελλήνιες θα ολοκληρωθούν την Τετάρτη 12 Ιουνίου, με τα μαθήματα: Ιστορία (Ο.Π. Ανθρωπιστικών Σπουδών), Φυσική (Ο.Π. Θετικών Σπουδών και Σπουδών Υγείας), Οικονομία (Ο.Π. Σπουδών Οικονομίας και Πληροφορικής).

 

 

Ροή Ειδήσεων

Περισσότερα