Κορονοϊός: 95 νεκροί και 10.783 νέα κρούσματα σήμερα στην Ελλάδα – 680 διασωληνωμένοι

Κορονοϊός: 95 νεκροί και 10.783 νέα κρούσματα σήμερα στην Ελλάδα – 680 διασωληνωμένοι
ΜΕΘ κορονοϊού istock

10.783 νέα κρούσματα σήμερα στην Ελλάδα ανακοίνωσε ο ΕΟΔΥ. 680 διασωληνώσεις, 95 θάνατοι συμπολιτών μας από κορονοϊό. Ποια είναι η κατάσταση σε Αττική και Θεσσαλονίκη.

Ο Εθνικός Οργανισμός Δημόσιας Υγείας (ΕΟΔΥ) ανακοίνωσε το απόγευμα της Κυριακής (16/01) ότι τα εργαστηριακά επιβεβαιωμένα νέα κρούσματα του κορονοϊού είναι 10.783, εκ των οποίων 55 εντοπίστηκαν κατόπιν ελέγχων στις πύλες εισόδου της χώρας.

Ο συνολικός αριθμός των κρουσμάτων ανέρχεται σε 1.660.871 (ημερήσια μεταβολή +0.7%), εκ των οποίων 49.8% άνδρες. Με βάση τα επιβεβαιωμένα κρούσματα των τελευταίων 7 ημερών, 506 θεωρούνται σχετιζόμενα με ταξίδι από το εξωτερικό και 2.146 είναι σχετιζόμενα με ήδη γνωστό κρούσμα.

Τα κρούσματα σήμερα στην Αττική

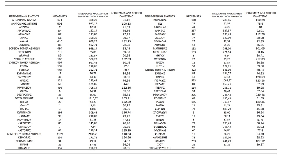
Στην Αττική σήμερα, 16/01/2022 εντοπίστηκαν 3.826 νέα κρούσματα σύμφωνα με τον ΕΟΔΥ. Η κατανομή των κρουσμάτων στην Αττική σήμερα είναι εξής:

  • Ανατολική Αττική 503
  • Βόρειος Τομέας Αθηνών 494
  • Δυτική Αττική 165
  • Δυτικός Τομέας Αθηνών 497
  • Κεντρικός Τομέας Αθηνών 1139
  • Νότιος Τομέας Αθηνών 423
  • Πειραιάς 553
  • Νήσοι 52

Αναλυτικά η διασπορά των νέων κρουσμάτων σήμερα στην υπόλοιπη Ελλάδα

Η κατανομή των νέων κρουσμάτων σήμερα του κορονοϊού στην Ελλάδα, ανά περιφερειακή ενότητα, είναι η εξής:

 

Οι νέοι θάνατοι ασθενών με COVID-19 είναι 95, ενώ από την έναρξη της επιδημίας έχουν καταγραφεί συνολικά 21.984 θάνατοι. Το 95.1% είχε υποκείμενο νόσημα ή/και ηλικία 70 ετών και άνω.

Ο αριθμός των ασθενών που νοσηλεύονται διασωληνωμένοι είναι 680 (60.3% άνδρες). Η διάμεση ηλικία τους είναι 65 έτη. To 79.1% έχει υποκείμενο νόσημα ή/και ηλικία 70 ετών και άνω. Μεταξύ των ασθενών που νοσηλεύονται διασωληνωμένοι, 554 (81.47%) είναι ανεμβολίαστοι ή μερικώς εμβολιασμένοι και 126 (18.53%) είναι πλήρως εμβολιασμένοι. Από την αρχή της πανδημίας έχουν εξέλθει από τις ΜΕΘ 3.899 ασθενείς.

Οι εισαγωγές νέων ασθενών Covid-19 στα νοσοκομεία της επικράτειας είναι 563 (ημερήσια μεταβολή +2.18%). Ο μέσος όρος εισαγωγών του επταημέρου είναι 564 ασθενείς.Η διάμεση ηλικία των κρουσμάτων είναι 36 έτη (εύρος 0.2 έως 106 έτη), ενώ η διάμεση ηλικία των θανόντων είναι 78 έτη (εύρος 0.2 έως 106 έτη).

Διενέργεια τεστ

Το τελευταίο 24ωρο διενεργήθηκαν 17.729 μοριακά τεστ και 202.631 rapid test, με τη θετικότητα σε σύνολο 220.360 τεστ να φτάνει το 4,89%.

ΤΙ ΠΡΕΠΕΙ ΝΑ ΞΕΡΩ ΓΙΑ ΤΟΝ ΚΟΡΟΝΟΪΟ

Δείτε σε πραγματικό χρόνο την εξέλιξη των κρουσμάτων

Ακολουθήστε το News247.gr στο Google News και μάθετε πρώτοι όλες τις ειδήσεις

Ροή Ειδήσεων

Περισσότερα